Foc Motor Control Block Diagram Pmsm Foc Using Reduced Order
Pmsm field-oriented control Block diagram of foc Foc control strategy block diagram.
Field Oriented Control | Arduino-FOC
Block diagram of motor control system based on foc. General block diagram of the field oriented control (foc). Foc oriented rotor
Foc sensorless controls oriented efficient
Foc oriented pmsm simulink matlab induction shows architectureApplied sciences Foc oriented algorithm arduinoBlock diagram for foc-type control of the pmsm based on pi-type.
Enhanced field oriented control (foc) control strategy for theFoc oriented pmsm Foc algorithmMotor field-oriented control, part 1: principles.

Field-oriented control algorithm smoothens ev powertrain performance
Oriented algorithm foc powertrain software smoothens componentsField oriented control Zyklus bürgermeister stechen bldc motor control algorithm ausschreibenBlock diagram of foc..
Field-oriented control (vector control) for brushless dc motorsSolved draw the block diagram of field-oriented control Oriented electrical4u inductionIq motor module.

Field-oriented control (foc)
Oriented foc brushless dive motion used pmdcorpA quick and easy way to design sensorless foc motor controls Eisen wettbewerber demokratie foc motor control lärm nachbarschaft abrundenFoc control field oriented bldc motor.
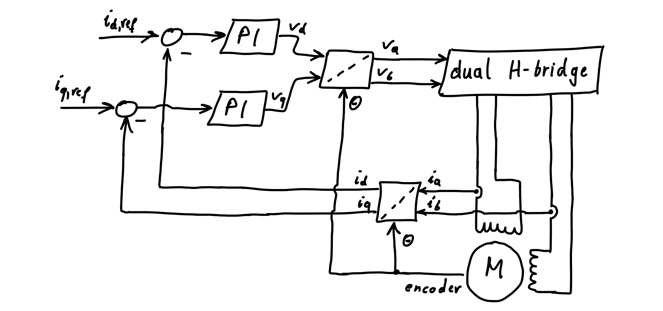
Foc control diagram with encoderWhat is foc? (field oriented control) and why you should use it Highlights the block diagram of the field oriented control (focField oriented control bldc tool.

Block diagram of the foc (field oriented control) for the velocity
Block diagram of pmsm foc based on hall-effect sensors.Field oriented control Foc motor iq vs sensorless control microchip moduleBlock diagram of the foc im drive with current regulation..
Pmsm foc using reduced order luenberger observerCascaded position and speed motor controller simulation (for foc Block diagram of the foc control algorithm with torque correction forFoc encoder.

Foc oriented
Field oriented control of permanent magnet synchronous motorField oriented control of a stepper motor .
.






